«Саня 10%», хозяин «мертвой души» и квартир на курортах: топ-менеджер крупной строительной компании Александр Зинченко из Волгодонска подозревается в присвоении десятков миллионов рублей
Александр Зинченко
Читайте также:
- Оборудование весом в более 7 тысяч тонн изготовили на «Атоммаше» для турецкой АЭС (29.04.2026 18:00)
- Более 100 тысяч рублей помогла вернуть прокуратура матери из Волгодонского района (29.04.2026 19:00)
- «Бокс учит думать»: история волгодонского бокса от первой секции Евгения Савинова до наших дней (29.04.2026 11:30)
Трудовые споры, а тем более факты хищения больших денежных сумм в крупных компаниях редко становятся достоянием общественности. Но этот случай стал исключением.
Волгодонец Александр Зинченко, уже бывший топ-менеджер одной из ведущих компаний в сфере строительства промышленных предприятий и инфраструктурных объектов «Монрем» подозревается в выводе из компании десятков миллионов рублей самыми разнообразными способами: от завышения стоимости выполненных работ, до получения откатов от контрагентов «Монрема» и владельцев общежитий, где размещались рабочие. Топ-менеджер внезапно разбогател на 47,7 миллионов рублей за 4 года. Для незаконного обогащения использовался и такой экзотический способ, как трудоустройство «мертвой души». «Блокнот» попытался разобраться в этой истории и провел журналистское расследование.

В марте 2026 года в Волгодонской районный суд поступили сразу три гражданских дела, участником которых стал, как оказалось, бывший заместитель генерального директора «Монрема» Александр Владимирович Зинченко. В двух делах он выступает ответчиком, а в одном истцом. Сам Зинченко через суд пытается добиться восстановления на работе.
Как стало известно «Блокноту», уволенный по статье в январе 2026 года бывший заместитель директора по строительно-монтажным работам Александр Зинченко подал исковое заявление в суд на ООО фирма «Монрем» за незаконное увольнение по статье 81 Трудового кодекса РФ «Принятие необоснованного решения, повлекшее за собой нарушение сохранности имущества, неправомерное его использование или иной ущерб имуществу организации, пункт 9 часть 1 с требованием восстановления в должности и взыскания с компании среднего заработка за время вынужденного прогула в размере 387 418 рублей.
Еще недавно Александр Зинченко входил в число руководителей «Монрема», компании с выручкой почти в 3,5 миллиардов рублей в год, которая относится к числу крупнейших частных компаний в Волгодонске Ростовской области, а в сфере строительства промышленных и инфраструктурных объектов является одним из лидеров на Юге России. Компания была создана в 1991 году на волне массовых сокращений на «Атоммаше». Первым крупным объектом, где работали волгодонцы, стало расширение газоперерабатывающего завода в Астрахани, принадлежащего «Газпрому». В дальнейшем компания «Монрем» получала крупные подряды на объектах «Лукойла», «Роснефти», «Еврохима».
Из грязи в князи
Александр Зинченко в «Монрем» устроился еще в 2007 году на рядовую должность конструктора, а после поднялся по карьерной лестнице до ключевого поста заместителя директора по строительно-монтажным работам. За 18 лет создал среди своих коллег образ порядочного и надежного человека, пользовался уважением коллег. Александра Зинченко в компании ценили и уважали.
Как стало известно «Блокноту», Александр Зинченко, пользуясь добротой и доверчивостью 71 -летнего основателя компании Сергея Михайловича Таразанова, в тайне от всех, использовал свое служебное положение с целью личного обогащения предположительно на десятки миллионов рублей. Фактически Зинченко создал целую схему по выводу средств из компании своего работодателя.
Так бы и продолжалось дальше, если бы в конце года в Волгодонск лично не приехал подрядчик «Монрема» из Таганрога, который и рассказал о «схеме» обогащения заместителя директора. На новогодних праздниках была проведена проверка обращения подрядчика, по итогам которой были выяснены следующие подробности хищения.

Как делать миллионы рублей «из воздуха»
В 2025 году с подрядчиком из Таганрога «Монрем» заключил договор о выполнении работ по изготовлению готовых металлоконструкций, стоимость договора рассчитана, исходя из 170 тысяч рублей за тонну готовых изделий. При отгрузке металлоконструкций по требованию Зинченко подрядчик через Краснодарскую лабораторию неразрушающего контроля (НК) должен был перечислять вознаграждение, исходя из 15 тысяч рублей за тонну отгруженных металлоконструкций.
С этой целью между подрядчиком и краснодарской лабораторией был заключен договор по проведению неразрушающего контроля сварных соединений. По данному договору были произведены оплаты в размере 915 тысяч рублей, 1 миллион 86 тысяч рублей и 720 тысяч рублей, что подтверждается актом сверки между подрядчиком из Таганрога и Краснодарской лабораторией НК, а также платежными поручениями на общую сумму 3 495 000 рублей. По словам подрядчика, из Таганрога (условно назовем его №1), за весь период работ представители Краснодарской лаборатории НК на объект не приезжали, а неразрушающий контроль не проводился.
Далее, по словам подрядчика из Таганрога №1, по непонятной ему причине, Александр Зинченко распорядился перечислять денежные средства, исходя из 15 тысяч рублей за тонну отгруженных металлоконструкций не на счет лаборатории в Краснодаре, а на счет на его личного ИП Зинченко А.В. Для этого между подрядчиком из Таганрога №1 и ИП Зинченко А.В. был заключен договор об оказании услуг по изготовлению рабочей документации - проекта производства работ (ППР). Так, 25 сентября 2025 года были перечислены в рамках существующей договоренности - 471 тысяч рублей. Но сама документация реально была изготовлена конструкторским отделом «Монрема».
А после Александр Зинченко распорядился перечислять дополнительную сумму за допущенный брак опять же на ИП Зинченко А.В. в размере 380 тысяч рублей, средства на счет ИП были перечислены 4 декабря 2025 года. А по факту работы по исправлению брака металлоконструкций подрядчика из Таганрога №1 опять производились силами «Монрема», что подтверждается докладной от мастера и бригадира. «Монрем» оплачивал заработную плату, суточные, проживание, ГСМ и прочие расходы.
При этом дефектный акт не составлялся, претензионная работа с поставщиком по недостаткам поставленной продукции не проводилась. Решение об исправлении дефектов силами работодателя Зинченко принял единолично, заведомо не собираясь привлекать работников ИП Зинченко А.В. Однако, денежные средства за исправление брака получил именно ИП Зинченко А.В., что свидетельствует о незаконном извлечении дохода и корыстной заинтересованности.
В дальнейшем, по итогам 2025 года, от Александра Зинченко в адрес подрядчика из Таганрога №1 поступило требование перечислить 2 миллиона 700 тысяч рублей на ИП Зинченко А.В., что подтверждается выставленными счетами №1 от 23 сентября 2025 года (аванс за оказание услуг по разработке рабочей документации), №2 от 19 ноября 2025 года (оплата за оказание услуг по разработке документации, конструкции металлические деталировка) , №3 от 19 ноября 2025 года (окончательный расчет за оказание услуг по разработке рабочей документации), №4 от 19 ноября 2025 года (Оплата за оказание услуг по разработке рабочей документации конструкции металлические), с мотивировкой на словах – «вознаграждение за все контракты». При этом в рамках заключенного договора подряда между ООО фирма «МОНРЕМ» и подрядчиком из Таганрога №1 существовала задолженность в размере 3 миллионов 200 тысяч рублей за фирмой «Монрем». По словам подрядчика, Александр Зинченко поставил условие о погашении задолженности в зависимость от перечисления суммы вознаграждения.
Эта история оказалась только верхушкой айсберга. Еще один подрядчик «Монрема» из Таганрога (назовем его условно №2) сообщил, что он еще в 2024 году заключил договор по изготовлению металлоконструкций, в том числе и проведение ультразвукового контроля за свой счет. Но в ходе беседы Александр Зинченко в устной форме потребовал от подрядчика из Таганрога №2 заключить договор со все той же лабораторией в Краснодаре по завышенной расценке – 1 500 рублей вместо существующей расценки с ООО фирма «Монрем» - за контроль ультразвуковым методом - 500 рублей за 1 метр сварного соединения. Таким образом, краснодарская лаборатория получила от подрядчика из Таганрога №2, согласно акту сверки, 8 миллионов 218 тысяч рублей. Данный договор принес непоправимый ущерб и убытки подрядчику из Таганрога №2, после чего руководству пришлось обанкротить компанию.
В ходе расследования третий контрагент «Монрема» из Таганрога сообщил, что в рамках заключенного договора между ООО фирма «Монрем» он также перечислил в адрес ИП Зинченко А.В. 475 тысяч рублей и 315 тысяч рублей, что подтверждается платежным поручением №15 от 26 ноября 2025 года №16 от 26 ноября 2025 года по договору за якобы разработку документации.
При проведении анализа понесенных затрат выяснилось, что из-за действий Зинченко Александра, ИП Зинчеко А.В. зарабатывал 15 тысяч рублей за тонну, а компания «Монрем» - 8 тысяч рублей за тонну.
Как стало известно «Блокноту», после предъявления доказательств хищения, Александр Зинченко не стал доказывать свою невиновность руководству компании и в первый рабочий день 2026 года написал заявление на увольнение, собрал личные вещи и исчез из города, отключив телефон, но забрав с собой рабочий ноутбук. На следующий день он оформил больничный и дожидался двухнедельного срока для увольнения по собственному желанию, чтобы выйти из сложившийся ситуации с не запятнанной репутацией. 23 января 2026 года на «Монреме» состоялось заседание комиссии, на котором присутствовали представители всех трех обманутых подрядчиков.
Как стало известно «Блокноту», руководство предприятия пыталось разобраться в происходящей ситуации через супругу Александра Зинченко Дину Осипенко, но после неоднократных бесед она дала понять, что поддерживает все поступки и действия своего мужа.
По итогам заседания и оглашения результатов служебной проверки было принято решение, что данные доказательства являются существенным подтверждением хищения. Таким образом было принято решение об увольнении Александра Зинченко по статье 81 Трудового кодекса РФ «Принятие необоснованного решения, повлекшее за собой нарушение сохранности имущества, неправомерное его использование или иной ущерб имуществу организации, пункт 9 часть 1». «На свободу от работы» Александр Зинченко вышел не с пустыми руками – компания выплатила ему компенсацию отпуска в размере 918 тысяч рублей.
«Саня 10%»
История с Таганрогом оказалась только началом. Дальнейшее служебное расследование показало, что выводом средств из компании топ-менеджер занимался минимум с 2022 года. Тогда Александр Зинченко заключил убыточный контракт с генеральным подрядчиком из Санкт-Петербурга, который позволил снизить стоимость работ на 50 % с 110 миллионов до 55 миллионов рублей, получив при этом откат 10%. В 2023 году по этой же схеме Зинченко вновь заключил убыточный контракт с падением цены на 50 % с 100 до 49 миллионов рублей, получив при этом откат в размере 10 %. Итоги – почти 10 миллионов рублей «черного дохода».
В начале 2025 года Александр Зинченко попытался еще раз провернуть эту схему, но руководство компании отказалось от такого контракта, учитывая опыт прошлых лет. После переговоров с генеральным подрядчиком из Санкт-Петербурга был подписан договор на приемлемых условиях для «Монрема» на сумму 148 миллионов рублей на выполнение строительно-монтажных работ в Краснодарском крае.
Но и в таких условиях топ-менеджер нашел способ заработать. Александр Зинченко нанял местных инженеров производственно-технического отдела (ПТО) и сметчиков. Замкнул все процессы на себе, и не допустив утечки информации, после выполнения работ Зинченко объявил всем, что «Монрем» по данному договору выполнил работ всего на 67 миллионов рублей (из 148 миллионов по контракту), а остальные работы, якобы выполнил сам генеральный подрядчик.
Уже после увольнения Зинченко и замены наемных сотрудников в рабочем компьютере были обнаружены 80 сканов подписанных форм КС-2, не учтенных в реестре компании, на общую сумму 43 миллиона рублей, которые Зинченко пытался незаконно получить.
И вишенка на торте. Буквально за месяц до увольнения, в конце ноября 2025 года Александр Зинченко подписал акт выполненных работ со все той же краснодарской лабораторией неразрушающего контроля на сумму 3,5 миллионов рублей. После проверки данных работ выяснилось, что Александр Зинченко подписал несуществующие объемы работ на сумму 2 миллиона рублей, данная схема была вскрыта и предотвращена.
Мзду брал даже за размещение рабочих
Доходы ловкий замдиректора получал буквально со всех контрагентов «Монрема», зарабатывая буквально на всем. На объекте в Славянске-на-Кубани в Краснодарском крае он запрещал рабочим переезжать из общежития в более лучшие условия проживания, естественно с прибытком для собственного кармана. Хозяйка общежития призналась, что по договоренности с Зинченко увеличила стоимость проживания 1 человека в сутки с 450 рублей до 700 рублей и платила 10% процентов от суммы договора наличкой. За период с 16 октября 2025 года по 4 марта 2026 года Зинченко получил откат от гостиницы на сумму 112 тысяч рублей.
В зону обязанностей Зинченко Александр Владимировича также входила закупка дорогостоящих материалов для выполнения работ. Поставщики, которым он подписывал счета на поставку материалов, пока отказываются рассказывать, каким образом они сотрудничали, но судя по заинтересованному поведению 3инченко, поставщики стимулировали его интерес.
У каждого «обнальщика» должна быть «мертвая душа»
И буквально накануне выхода публикации «Блокнот» узнал еще одну деталь похождений Александра Зинченко. В «Монреме» на него работала настоящая «мертвая душа», которая едва не стала самым продуктивным сотрудником компании. В дополнении к уже полученным миллионам, Александр Зинченко нашел еще один дополнительный способ заработка. Он фиктивно устроил в «Монрем» на должность монтажника своего племянника, а банковская карта, на которую начислялась зарплата, оказалась в распоряжении другой его сестры. Монтажник-призрак сразу стал едва ли не самым лучшим работником среди коллег – работал он по 11 часов в сутки, не вылезал из командировок. С июня 2024 года по январь 2026 года «мертвая душа» заработала 3,3 миллионов рублей и дополнительно, получила 306 тысяч рублей суточных за такие же неосуществлённые командировки. С учетом налогов, ущерб компании составил 4,3 миллионов рублей.
Красиво жить не запретишь
По уже подтвержденным документально эпизодам, Александр Зинченко получил, без учета обналичивания, в период с 2022 по 2025 год - 34,4 миллиона рублей. Но самый главный «куш» - 48 миллионов рублей, он получить так и не успел.

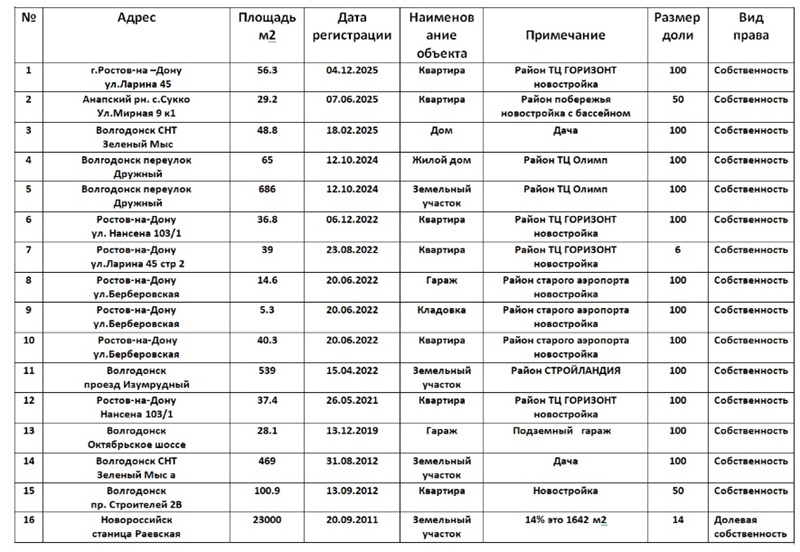
Объекты недвижимости, которые оказались в собственности Александра Зинченко
Куда были потрачены эти деньги, с учетом того, что сам Зинченко получил немаленькую зарплату, как руководитель компании? Судя по всему, деньги вкладывались в недвижимость. Александр Зинченко оказался обладателем 5 квартир в новостройках в Ростове, квартиры в Анапском районе Краснодарского края, большого земельного участка в Новороссийске (в долевой собственности), не считая гаражей, кладовок и прочей мелочи в Ростове. В Волгодонске Зинченко приобрел дачу в садоводстве «Зеленый мыс», земельный участок с частным домом в центре нового города, а про запас он оказался владельцем земельного участка по улице Ленинградской. Большая часть недвижимости была приобретена в 2022 году в полную собственность.
Судя по приобретенному имуществу, с общей стоимостью в десятки миллионов рублей, это далеко не все эпизоды хищения, которые удалось обнаружить. Минимальная стоимость имущества Зинченко Александра Владимировича, приобретенная в период с 2021 года по 2025 год, составляет 47,7 миллионов рублей.
Примечательно, что имея огромный теневой доход, Александр Зинченко не стеснялся обращаться за помощью к руководству «Монрема». По неофициальной информации, Александр Зинченко был другом семьи основателя «Монрема» Сергея Таразанова. Так он получил в частном порядке займ от семьи Сергея Таразанова на улучшение жилищных условий (возврат долга сейчас как раз и рассматривается в суде), а в октябре 2025 года ему предоставили служебный автомобиль EXEED VX в комплектации «СЕНАТОР» стоимостью 4,5 миллионов рублей. Поражает циничность поступков этого человека.
Выводя деньги из компании и приобретая недвижимость на нетрудовые доходы, Александр Зинченко до сих пор находится на свободе и не понес никакого наказания. Данные действия попадают под статью 159 часть 4 УК РФ «Мошенничество организованной группой лиц в особо крупном размере» и влекут наказание до 10 лет лишения свободы. Но эти вопросы уже находятся в ведении полиции и налоговой службы, ведь получение 47 миллионов рублей и покупку на эти деньги множества объектов недвижимости не может не обратить внимание налоговиков.
Константин Прибрежный
Читайте новости Волгодонска в удобном формате в нашем Телеграм-канале и в MAX.
Новости на Блoкнoт-Волгодонск